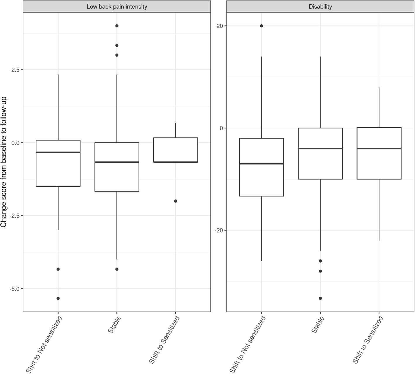
Fig. 4

The association between clinical improvements and change in cluster classification following spinal manipulation. The y-axis presents the change scores in patient-reported outcomes between follow-up and baseline. A negative value indicates improvement. The x-axis presents the stability of the clusters from baseline to follow-up. Low back pain intensity is measured on a numerical pain rating scale [0–10]. Disability is measured using the Oswestry disability index [0–100]. Stable (n = 78), Shift to Not sensitized (n = 20), Shift to Sensitized (n = 7)